灌封胶灌封工艺 灌封胶操作流程 灌封胶使用时需要注意什么
发布:灌封胶生产厂家
时间:2021-11-10 11:43:38
常用于电子元器件、变压器或电机线圈等的粘接、密封、灌封或涂覆保护。灌封胶在未固化前为液体状,胶液粘度根据产品的组分、用量、生产工艺的不同而有所区别。灌封胶完全固化后才能实现它的使用价值,固化后可以起到防水防潮、防尘、绝缘、导热、保密、耐温、耐压、防腐蚀、防震的作用。说到灌封胶,大家知道灌封是什么意思吗?其工艺又是怎样?咱们接着往下看。

灌封是什么
灌封就是将液态复合物用机械或手工方式灌入装有电子元器件或线路的器件内,在常温或加热条件下固化成为性能优异的热固性高分子导热绝缘材料。可强化电子元器件的整体性,提高对外来冲击、震动的抵抗力;提高内部元器件、线路之间绝缘性,有利于元器件小型化、轻量化;避免元器件和线路直接暴露,改善元器件的防水、防潮性能,提高稳定性。
灌封材料产品的质量和相关产品结构方面的设计、一些元件的选择、组装都与所用灌封材料是密切相关的,但是灌封工艺往往也是不可忽略的一个因素。
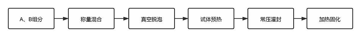
灌封胶操作工艺流程
当下常见的灌封方式主要有手工真空灌封和机械真空灌封两种方式,而机械真空灌封又可分为A、B组分先混合脱泡后灌封和先分别脱泡后混合灌封两种情况。相比之下,机械真空灌封设备投资大,维护费用高,但在产品的一致性、可靠性等方面明显优于手工真空灌封工艺。
一、手工真空灌封工艺流程:
二、机械真空灌封工艺流程:分为A、B组分先混合脱泡后灌封和先分别脱泡后混合灌封
(1)、A、B组分先混合脱泡后灌封工艺流程:
(2)、A、B组分脱泡后混合灌封工艺流程:
灌封工艺作为电子产品防护的手段之一,对电子产品起到了防潮、防霉、防盐雾的作用,增加了电子产品在恶劣环境下的可靠性,是其他防护工艺不可代替的。随着科学技术的发展,灌封材料也在不断地改进、更新,具有更高综合性能的灌封材料不断被研制出来,灌封工艺也将应用于更广泛的领域。
灌封胶使用时需要注意什么
灌封胶灌封结构、工艺不算复杂,却需要掌握正确的操作步骤。有些用户并不注重操作工艺,忽略了许多细节,导致固化效果不理想。因此,灌封胶在使用时要注意按照以下几个步骤去浇注,才能令灌封胶发挥更好的性能。
1、注意按照重量比称量配比
将灌封胶A组分与灌封胶B组分按照一定的重量比去称量,尽量精确一些,减少误差。一旦误差太大,将会影响产品的性能。选择的品质也需要有保障,这样使用更安全。

2、注意在特定温度环境下操作
操作时间与产品配方有关外还主要受温度影响,温度高固化速度会加快,操作时间也就相应缩短,温度低固化速度就会慢,操作时间相应会延长。
4、注意搅拌技术要到位
有些用户会发现,灌封胶的固化不太理想。不是产品质量存在问题,而是搅拌过程中没有掌握技巧。搅拌时,需要使用专业的搅拌棒顺着一个方向去匀速搅拌。速度不能太快也不能太慢,三分钟即可。

5、注意要抽真空排气泡
混合搅拌充分的灌封胶A、B组分,可以直接倒入或灌入将要固化的容器中,常温固化或加热固化均可。如果灌胶高度较厚且对灌封固化好后的产品外观要求较高的话,可根据情况对其抽真空处理把气泡抽出后再进行灌封。
6、注意特定材料、化学物、固化剂和增塑剂的慎用
特定材料、化学物、固化剂和增塑剂会阻碍灌封胶的固化,主要包括:有机锡和其它有机金属合成物含有机锡催化剂的硅酮橡胶硫、聚硫化物、聚砜类物或其它含硫物品胺、氨基甲酸乙酯或含胺物品不饱和的碳氢增塑剂一些助焊剂残余物。
7、A、B组分应分别密封贮存,做到现用现配,混合后的胶料应一次用完,避免造成浪费。
